出品:科普中国 作者:Denovo 监制:中国科普博览
咖啡如今已经成为许多人生活中不可或缺的一部分,无论是为了提神醒脑,还是作为一种休闲的仪式感,它都深受喜爱。
每隔一段时间,关于咖啡的话题总能登上热搜,从讨论哪种豆子的风味更独特,到分享手冲咖啡的技巧,再到咖啡对健康的研究,几乎每次都能引发热烈的关注。咖啡的流行不仅是味觉的享受,更是一种生活态度的体现,难怪它会成为大众茶余饭后热议的话题。

喝咖啡
(图片来源:作者AI生成)
咖啡为何有这么多功效?
咖啡的主要成分包括咖啡因、多酚和膳食纤维,这些成分赋予了咖啡多种独特的效用。咖啡因是一种天然的中枢神经系统兴奋剂,能特异性地结合到腺苷受体上,抑制腺苷在大脑中的作用。腺苷是一种能够让我们感到疲倦的神经递质,腺苷在大脑中的积累会增加人的嗜睡感,而咖啡因的结合阻断了这一过程,从而提高神经元的兴奋性,使人感觉精力充沛、注意力增强。
此外,咖啡因还能抑制磷酸二酯酶(PDE)的活性。磷酸二酯酶(PDE)是一种降解环磷酸腺苷(cAMP)的酶。通过抑制磷酸二酯酶,咖啡因阻止了cAMP的分解,导致cAMP在细胞内积累,进而刺激包括肾上腺素、去甲肾上腺素、多巴胺等多种激素和神经递质的释放。这些物质的释放能增强身体的应激反应,如提高心率、升高血压和加快代谢率。此外,肾上腺素还会促进脂肪分解,将脂肪酸释放到血液中,为身体提供额外的能量,因而咖啡能够常被用于减脂和提升运动表现。

咖啡因摄入对人体各器官健康的影响
(图片来源:文献[6])
咖啡中的咖啡因具有抗炎作用,而多酚则是强效的抗氧化剂。适量饮用咖啡不仅能够降低心血管疾病的风险,还与乳腺癌、子宫内膜癌、肝癌和胆囊癌等多种癌症的发病率和死亡率下降密切相关。
咖啡因还可以通过调节胰岛素敏感性,有效降低二型糖尿病的发生风险。此外,咖啡因可以通过拮抗腺苷受体的作用,能够减缓帕金森症中神经变性的进程。不过,虽然已有许多研究发现了咖啡的潜在健康益处,但就目前的证据,尚不支持“咖啡能预防疾病”的观点。如感身体不适,建议及早就医,遵循医嘱。
最近,意大利和美国的科学家更是揭示了一些关于咖啡因的全新潜力——咖啡因或许能成为帮助戒除酒瘾的秘密武器。
喝咖啡真的可以帮助戒酒?
喝酒为什么会上瘾?科学家们发现,酒精(乙醇)本身并不会直接带来愉悦感。当酒精被摄入后,乙醇会在肝脏中代谢生产为乙醛等物质。这些代谢产物能作用于大脑中由杏仁核、中脑腹侧被盖区和伏隔核等区域构成的“中脑边缘通路”(mesolimbic pathway),从而促进多巴胺的大量释放。多巴胺是一种与愉悦和奖励体验密切相关的神经递质,它的释放会带来放松和愉悦的感觉,从而激发我们继续饮酒的渴望。

中脑边缘通路
(图片来源:维基百科)
然而,长期饮酒会导致中枢神经系统,尤其是中脑边缘通路在分子和细胞层面上发生适应性变化。例如,大脑中的多巴胺受体数量和敏感性可能会下降,导致个体需要摄入更多的酒精才能获得与之前相同的愉悦感。随着耐受性的增强,人们会逐渐增加饮酒量,最终形成对酒精的依赖。据统计,全球每年约有250万人因酒精相关疾病死亡。

研究人员通过实验观察酒精和咖啡因对雄性大鼠大脑的影响
(图片来源:参考文献[2])
2020年,科学家们将含有咖啡因和酒精的饮料喂给雄性大鼠,惊讶地发现,咖啡因竟然让大鼠对酒精产生了厌恶感。
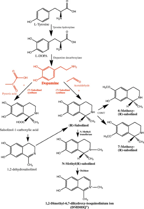
最近他们的进一步研究显示,这种现象与咖啡因阻止酒精转化为去甲猪毛菜碱(salsolinol)有关。具体来说,当酒精被摄入后,乙醇代谢为乙醛,而乙醛在特定条件下会与脑内的多巴胺结合生成去甲猪毛菜碱。咖啡因阻止了这一过程,间接调节了多巴胺的释放,降低了酒精的成瘾性。
咖啡因阻断去甲猪毛菜碱的生成过程,与美国食品药品监督管理局(FDA)批准用于治疗酒精使用障碍的药品μ受体拮抗剂纳曲酮有着异曲同工之妙,这进一步支持了将其作为酒精成瘾潜在治疗方法的设想。

大脑中多巴胺和去甲猪毛菜碱的代谢途径
(图片来源:文献[3])
真的建议喝咖啡的时候加点牛奶
根据丹麦哥本哈根大学的在2023年发表在《食品化学》和《农业与食品化学杂志》上的两项研究表明,咖啡中加入牛奶能增强其抗炎效果。

喝咖啡加牛奶的话题成为微博热搜
(图片来源:作者微博截图)
这项研究揭示,咖啡中的多酚与牛奶中的蛋白质反应,能够显著提升抗炎效果。这是因为多酚在与氨基酸结合后,能增强其抑制免疫细胞炎症的能力。其中的原理是,多酚与氨基酸的巯基反应形成共价加合物,改变了多酚分子的结构,从而增强其生物活性。
研究表明,CA-Cys和CGA-Cys等加合物在免疫细胞中的抗炎作用比单独的多酚更强,它们通过调节免疫信号通路,如Toll样受体和NOD样受体信号通路,增强了免疫调节作用,并抑制了炎症因子(如TNF-α和PGE2)的产生。此外,这些加合物在调节炎症反应时表现出更强的抑制作用,表明它们在抗炎和免疫调节方面具有潜在的优势。
多酚是天然的抗氧化剂,广泛存在于咖啡、茶、红酒以及水果和蔬菜中。它们通过中和体内的自由基,减少氧化应激,从而降低炎症反应。炎症是身体免疫系统的反应机制,但长期或过度的炎症会导致健康问题,如关节炎等疾病。多酚作为强效的抗氧化剂,能有效减缓这种炎症过程。然而,关于多酚与其他分子,特别是蛋白质之间的相互作用,研究相对较少。

喝咖啡真的建议加牛奶
(图片来源:作者AI生成)
在这项研究中,科学家们将人工引发的免疫细胞炎症与不同剂量的多酚结合氨基酸的混合物进行对比。结果表明,含有多酚和氨基酸的组合比仅含多酚的处理效果更为显著,抗炎能力翻倍。这意味着,当我们将牛奶加入咖啡时,牛奶中的蛋白质与咖啡中的多酚反应,可能有效增强抗炎效果。
此外,类似的反应可能不仅发生在咖啡加牛奶的组合中,其他含蛋白质的食物与含多酚的水果、蔬菜、茶等也可能会产生类似的健康效益。
咖啡的其他作用
事实上,咖啡在营养流行病学中是一种非常有趣的研究对象,因为通常一个人要么每天喝咖啡,要么完全不喝,这使得相关研究的数据准确性较高。因此,围绕咖啡对人体影响的研究层出不穷。

咖啡中富含的多酚类化合物
(图片来源:作者AI生成)
近日,美国哈佛大学的研究团队对来自英国、美国超过2.2万人的医疗数据,以及其他研究队列中超过5.4万人的公共数据进行了分析,发现除了咖啡因对神经系统的显著影响外,咖啡中富含的多酚类化合物(如绿原酸和奎宁酸)还对消化系统具有独特作用。
研究团队根据个体的喝咖啡习惯将人群分为三组:高摄入组(每天饮用约3杯以上)、从不摄入组(一个月饮用不超过3杯)、适量摄入组(介于两者之间的适中饮用量)。

溶糖劳森杆菌的显微镜照片
(图片来源:文献[5])
随后,研究人员借助多组学分析、机器学习等手段分析了不同人群的肠道菌群与咖啡饮用量的联系。肠道菌群就是生活在我们肠道内的微生物群落,在人体的新陈代谢过程中起着关键的调节作用。
结果显示,摄入量“高”和“适量”的人群,其肠道微生物组与“从不”摄入咖啡的人群相比,组成上存在显著差异。
总体来看,肠道中绝大多数微生物的数量随着咖啡摄入量的增加而显著上升。其中,不同人群差异最大的是一种名为溶糖劳森乳杆菌(Lawsonibacter asaccharolyticus)的细菌。溶糖劳森乳杆菌是一种耐酸耐胆汁的益生菌,能在肠道中存活并促进有益菌群的生长。它通过平衡肠道菌群、增强免疫功能和改善肠道屏障,帮助预防肠道感染、缓解腹泻和便秘等问题。
在喝咖啡的人群中,这种益生菌的水平约是不喝咖啡人群的8倍。这可能对人们的健康产生深远的影响。
结语
尽管许多研究表明咖啡对健康具有积极作用,但其益处的发挥依然取决于适量饮用以及个体差异的具体情况,不妨期待未来更多研究揭示咖啡背后的健康奥秘,帮助我们更深入地认识这杯平凡又不简单的日常饮品!
参考文献:
[1] Deehan G A, Brodie M S, Rodd Z A. What is in that drink: the biological actions of ethanol, acetaldehyde, and salsolinol[J]. Behavioral Neurobiology of Alcohol Addiction, 2013: 163-184.
[2] Bassareo V, Maccioni R, Talani G, et al. Receptor and metabolic insights on the ability of caffeine to prevent alcohol-induced stimulation of mesolimbic dopamine transmission[J]. Translational Psychiatry, 2024, 14(1): 391.
[3] Kurnik M, Panula P, Bugajski A, et al. Salsolinol: an Unintelligible and Double-Faced Molecule—Lessons Learned from In Vivo and In Vitro Experiments[J]. 2017.
[4] Manghi P, Bhosle A, Wang K, et al. Coffee consumption is associated with intestinal Lawsonibacter asaccharolyticus abundance and prevalence across multiple cohorts[J]. Nature Microbiology, 2024: 1-15.
[5] Sakamoto M, Iino T, Yuki M, et al. Lawsonibacter asaccharolyticus gen. nov., sp. nov., a butyrate-producing bacterium isolated from human faeces[J]. International Journal of Systematic and Evolutionary Microbiology, 2018, 68(6): 2074-2081.
[6] van Dam R M, Hu F B, Willett W C. Coffee, caffeine, and health[J]. New England Journal of Medicine, 2020, 383(4): 369-378.
[7] Poojary, Mahesha M., et al. "Covalent bonding between polyphenols and proteins: Synthesis of caffeic acid-cysteine and chlorogenic acid-cysteine adducts and their quantification in dairy beverages." Food Chemistry 403 (2023): 134406.
[8] Phenolic Acid–Amino Acid Adducts Exert Distinct Immunomodulatory Effects in Macrophages Compared to Parent Phenolic AcidsArticle link copied!

来源: 中国科普博览
内容资源由项目单位提供